ГОСТ 2.408-68 ЕСКД. Правила выполнения рабочих чертежей звездочек приводных роликовых и втулочных цепей
ГОСУДАРСТВЕННЫЙ СТАНДАРТ СОЮЗА ССР
ЕДИНАЯ СИСТЕМА КОНСТРУКТОРСКОЙ ДОКУМЕНТАЦИИ
ПРАВИЛА ВЫПОЛНЕНИЯ ЧЕРТЕЖЕЙ РАЗЛИЧНЫХ ИЗДЕЛИЙ
ПРАВИЛА ВЫПОЛНЕНИЯ РАБОЧИХ ЧЕРТЕЖЕЙ ЗВЕЗДОЧЕК ПРИВОДНЫХ РОЛИКОВЫХ И ВТУЛОЧНЫХ ЦЕПЕЙ
ГОСУДАРСТВЕННЫЙ СТАНДАРТ СОЮЗА ССР
Единая система конструкторской документации
ПРАВИЛА ВЫПОЛНЕНИЯ РАБОЧИХ ЧЕРТЕЖЕЙ ЗВЕЗДОЧЕК ПРИВОДНЫХ РОЛИКОВЫХ И ВТУЛОЧНЫХ ЦЕПЕЙ
Unified system for design documentation. Rules for making working drawings of sprocket wheels for roller and sleeve-type chains
Дата введения 01.01.71
1. Настоящий стандарт устанавливает правила выполнения элементов зацепления на рабочих чертежах звездочек для приводных роликовых и втулочных цепей с профилем зубьев по ГОСТ 591 .
2. Рабочие чертежи звездочек приводных роликовых и втулочных цепей должны быть выполнены в соответствии с требованиями стандартов Единой системы конструкторской документации и настоящего стандарта.
3. На изображении звездочки (черт. 1 — 3 ) указывают:
ширину зуба звездочки;
ширину венца (для многорядной звездочки);
радиус закругления зуба (в осевой плоскости);
расстояние от вершины зуба до линии центров дуг закруглений (в осевой плоскости);
диаметр обода (наибольший);
радиус закругления у границы обода (при необходимости);
диаметр окружности выступов;
шероховатость поверхности профиля зубьев, торцовых поверхностей зубьев, поверхности выступов и шероховатость поверхностей закругления зубьев (в осевой плоскости).
4. На чертеже звездочки в правом верхнем углу помещают таблицу параметров. Размеры граф таблицы, а также размеры, определяющие расположение таблицы на поле чертежа, приведены на черт. 1 .
5. Таблица параметров зубчатого венца звездочки состоит из трех частей, которые отделяют друг от друга сплошными основными линиями:
первая часть — основные данные (для изготовления);
вторая часть — данные для контроля;
третья часть — справочные данные (см. черт. 1 — 3).
6. В первой части таблицы параметров приводят:
число зубьев звездочки z;
параметры сопрягаемой цепи: шаг t и диаметр ролика d3 или втулки d2;
профиль зуба по ГОСТ 591 надписью: «Со смещением» или «Без смещения» (центров дуг впадин);
группа точности по ГОСТ 591.
7. Во второй части таблицы параметров приводят:
размер диаметра окружности впадин Di и предельные отклонения (для звездочек с четным числом зубьев) или размер наибольшей хорды Lx и предельные отклонения (для звездочек с нечетным числом зубьев);
допуск на разность шагов;
допуск радиального биения окружности впадин;
допуск торцового биения зубчатого венца.
8. В третьей части таблицы параметров приводят:
диаметр делительной окружности dд;
ширину внутренней пластины цепи h;
расстояние между внутренними пластинами цепи b3;
для многорядной цепи — расстояние между рядами цепи А;
число рядов цепи.
При необходимости указывают и другие справочные данные, относящиеся к элементам зацепления.
6 — 8. (Измененная редакция, Изм. № 2).
9. Если звездочка состоит из нескольких зубчатых венцов, отличных по числу зубьев или по числу зубьев и шагу цепи, то значения параметров указывают в таблице параметров для каждого венца в отдельных графах. Каждый зубчатый венец и соответствующую графу (колонку) таблицы обозначают прописными буквами русского алфавита (см. черт. 3 ).
10. Неиспользуемые графы таблицы параметров исключают или прочеркивают.
11. Примеры выполнения элементов зацепления на рабочих чертежах звездочек приведены на черт. 1 — 3 .
Пример выполнения зубчатого венца звездочки для приводной роликовой однорядной нормальной цепи
* Размер для справок.
Пример выполнения чертежа зубчатых венцов звездочки для приводной роликовой трехрядной цепи
* Размер для справок.
Пример выполнения чертежа зубчатых венцов блока звездочек для однорядных цепей
* Размер для справок.
(Измененная редакция, Изм. № 2).
1. РАЗРАБОТАН И ВНЕСЕН Комитетом стандартов, мер и измерительных приборов при Совете Министров СССР
В.Р. Верченко, Я.Г. Старожилец, Ю.И. Степанов, В.И. Дозорцев
2. УТВЕРЖДЕН И ВВЕДЕН В ДЕЙСТВИЕ Постановлением Комитета стандартов, мер и измерительных приборов при Совете Министров СССР от 19.06.68 № 948
Изменение № 2 принято Межгосударственным Советом по стандартизации, метрологии и сертификации (протокол № 8 от 12.10.95)
Зарегистрировано Техническим секретариатом МГС № 1777
За принятие изменения проголосовали:
Наименование национального органа стандартизации
Значения передаточного числа
Для механической коробки передач, работающей в пятискоростном режиме, передаточные числа находятся в таких диапазонах:
· 1-я передача – от 3 до 4;
· 2-я передача – от 2 до 2,9;
· 3-я передача – от 1,2 до 1,9;
· 4-я передача – от 0,9 до 1,2;
· 5-я передача – от 0,7 до 0,9;
· задний ход – от 3 до 4.
В автоматических коробках передач диапазоны значений несколько шире. Сделано это для того, чтобы в различных режимах силовой агрегат работал динамичнее и более гладко. Кроме того, если в автоматике передаточные числа будут настроены неправильно, то езда на автомобиле станет некомфортной с периодическими рывками и внушительным расходом топлива. Поэтому оптимальными для АКПП считаются значения передаточного числа, расположенные близко к друг другу. При таких параметрах разгон автомобиля будет происходить без неприятных рывков во время переключения скоростей.
Подробнее о передаточном числе будет рассказано в этом видеоролике:
Типы фрикционных передач
Специалисты выделяют надлежащие классификация фрикционных устройств:
- По характеру изменения передаточного значения: нерегулируемые и регулируемые (фрикционные вариаторы). Передаточное число в нерегулируемых механизмах не изменяется. В регулируемых устройствах передаточное отношение постоянно меняется.
- По способу прижатия тел вращения: с переменной или неизменной мощью. В механизмах, где валы соприкасаются с переменной мощью применяются вспомогательные нажимные приспособления.
- По условиям функционирования механизмов: открытые и закрытые. Открытые передачи работают только при использовании смазочных материалов. Закрытые механизмы могут функционировать с сухой поверхностью.
В зависимости от местоположения валов эксперты выделяют 3 основных вида фрикционных передач:
- Цилиндрическая: механизм с параллельными осями валов. Ее плоскости выполнены в форме цилиндра. Используется для передачи маленькой мощности. Данный вид передач производится с гладкими, вогнутыми или выпуклыми поверхностями. При использовании цилиндрических кинематических пар со звеньями клиновой формы трение уменьшается на 50%.
- Коническая: механизм с пересекающимися осями валов. Оснащается дисками с конической поверхностью. Для ее функционирования не требуется прикладывать большую силу нажатия. Передачи этого типа могут быть как реверсивными, так и нереверсивными.
- Лобовая: механизм с лобовой поверхностью и перекрещивающимися осями валов. По причине интенсивного скольжения она содержит невысокий коэффициент полезного воздействия. Предоставляет возможность изменять направление движения и интенсивность вращения валов. Этот тип передачи применяется в маломощных устройствах.
Выделяют отдельную классификацию для вариаторов по числу потоков мощности:
- Однопоточные: одноконтактные лобовые или двухконтактные торовые вариаторы.
- Многопоточные: многорядные вариаторы с параллельным или последовательно-параллельным соединением контактных пар.
- Многопоточные замкнутые вариаторы.
- Многопоточные планетарные вариаторы.
Данная классификация условия работы фрикционных механизмов и может использоваться для разработки общих методов расчета отдельных групп передач.
1.6 Определение общего передаточного отношения и передаточного отношения ременной передачи
Принимаем редуктор конически-цилиндрический с
ред
Следовательно передаточное отношение ременной передачи вычисляется:
общдввых
ред
рпобщред
1.7 Определение скоростей, мощностей и моментов на валах
Определение угловых скоростей
Определение мощностей
Определение крутящих моментов
Определение угловых скоростей
Табл.6 Силовые и кинематические параметры привода
Номер вала | n, мин-1 | ω, с-1 | P, кВт | T, Нм |
1 | 1410 | 147,58 | 3000 | 2,033 |
2 | 440,6 | 46,12 | 2850 | 61,8 |
3 | 110 | 11,53 | 2654 | 57,54 |
4 | 22 | 2,3 | 2468,1 | 1073 |
1.8 Выбор редуктора
Принимаем редуктор КЦ1 200. Параметры редуктора из табл. 19 и 27
Таблица 4. Габаритные и присоединительные размеры двух ступенчатых конически-циллиндрических редукторов типа КЦ250
Тип | аω1 | аω2 | В | А | А1 | L | L1 | L2 | L3 | l | l1 | l2 | l3 | Н |
КЦ 1-200 | 200 | 300 | 375 | 250 | 900 | 480 | 310 | 255 | 460 | 435 | ||||
Н1 | Н2 | Н3 | n | d | ||||||||||
225 | 180 | – | 4 | 17 |
ТтаблКр≥
таблр
1270·0,8>57,54
Т.о. условие выполняется
Таблица 5. Характеристика зацепления цилиндрических двухступенчатых горизонтальных редукторов типа КЦ250
Номинальное передаточное число | Вращающий момент на выходном валу, Н*м | Радиальная сила на валу, Н | КПД | |
входном | выходном | |||
20 | 1270 | 2500 | 8750 | 0,98 |
Схема ременной передачи:1-ведущий шкив,2-ведомый шкив,3-ремень
Исходные данные (полученные из кинематического расчёта привода): Мощность на ведущем валу: P1 = 3 кВт; Частота вращения ведущего вала: n1 = 1410 об/мин.; Передаточное число ремённой передачи: U = 3,2. 1) Рассчитываем крутящий момент на ведущем валу, затем выбираем по таблице сечение ремня и диаметр меньшего шкива: Принимаем: d1=100 мм; Сечение ремня S = 81 мм2, типа А. (ГОСТ 1284.1-80) 2) Определяем диаметр большого шкива: 3) Уточняем передаточное число с учётом относительного скольжения: ε≈ 0.01: Определяем расхождение от заданного U: (∆i / i) · 100% = ((|iст – i|) / iст) · 100% = ((|3,2-3.23|) / 3,2) · 100% = 0,9% |
4) Проводим сравнение ; – условие выполняется. 5) Определяем ориентировочное значение межосевого расстояния: ; т.к. i=3,2, то с=1; a’=320 мм. 6) Определяем ориентировочное значение длины ремня: мм Из стандартного ряда длину ремня L принимаем: L=1320 мм. 7) Уточняем межосевое расстояние: ; а=325 мм. 8) Определяем скорость ремня: м/с.9) Определяем число пробегов ремня в секунду: 5,6 с-1 10) Определяем угол обхвата ремней малого шкива: м/с. 11) Проводим проверку ; 158,9ᵒ≥120ᵒ– условие выполняется. 12) Определяем окружную силу на шкивах: Н. |
13) Определяем ориентировочное значение числа устанавливаемых ремней: м/с. где – допустимое полезное напряжение; А1 – площадь поперечного сечения ремня; k0– полезное напряжение ремня, МПа; м/с. где V – скорость ремня, м/с; ν – частота пробегов ремня; bh – ширина ремня по нейтральному слою;ku – коэффициент влияния передаточного числа; ca – коэффициент, учитывающий влияние угла обхвата на тяговую способность; cp – коэффициент режима работы. 14) Определяем силы, действующие на валы: где А1 = 81 мм2, z =2, k0 = 3,49МПа; =180-158,9=21,1- угол между ветвями ремня. =1115,3Н. |
StudFiles.ru
2.2. Планетарные передачи
Планетарными называются передачи, содержащие
зубчатые колеса с перемещающимися осями (рис. 2.6). Передача состоит из
центрального колеса 1 с наружными зубьями, центрального колеса 3 с внутренними
зубьями, водила Н и сателлитов 2. Сателлиты вращаются вокруг своих осей и вместе
с осью вокруг центрального колеса, т.е. совершают движение, подобное движению
планет.
При неподвижном колесе 3 движение может передаваться от 1 к
Н или от Н к 1; при неподвижном водиле Н – от 1 к 3 или от 3 к 1. При всех
свободных звеньях одно движение можно раскладывать на два (от 3 к 1 и Н) или два
соединять в одно (от 1 и Н к 3). В этом случае передачу называют
дифференциальной.

Рис. 2.6.
Планетарный механизм
Планетарные передачи имеют существенные преимущества:
-нагрузка в планетарных передачах передается одновременно
несколькими сателлитами, следовательно, силы, действующие на зубья колес,
соответственно уменьшаются, что позволяет использовать колеса меньших габаритных
размеров и массы;
-в планетарных передачах рационально используются колеса
внутреннего зацепления, обладающие большой (по сравнению с колесами наружного
зацепления) нагрузочной способностью;
-равномерное распределение сателлитов по окружности приводит к
уравновешиванию радиальных сил, действующих на колеса, и, следовательно, к
разгрузке подшипников центральных колес и водила;
-применение планетарного механизма позволяет легко осуществить
компактную конструкцию соосного редуктора, т.е. такого редуктора, у которого оси
ведущего и ведомого валов совпадают
Это имеет важное значение для поршневых и
турбовинтовых авиационных двигателей. Например, при помощи так называемого
дифференциального планетарного редуктора можно от одного двигателя приводить во
вращение два соосных винта, скорости вращения которых будут изменяться в полете
в соответствии с изменением шага винта
К недостаткам планетарных передач
относятся повышенные требования к точности изготовления и монтажа.
Передаточное отношение и число зубьев зубчатой передачи
Чем отличается масло 5w30 и 5w40 какое лучше выбрать

По своей схеме зубчатая передача подобна фрикционной – см.рис.11.1. Только здесь жесткое колесо имеет внутренние, а гибкое – наружные зубья (рис.11.7).
Рис.11.7
Гибкое колесо деформируют так, что в точках В между вершинами зубьев образуется радиальный зазор, а в точках А зубья зацепляются на полную рабочую высоту, в точках Е зацепление промежуточное. Ясно, что для зацепления необходимо равенство модулей зубьев обоих колес.
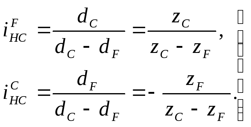
Передаточное отношение
– положим, что в формулах (11.10) и (11.11) dF и dC – диаметры делительных окружностей
(11.16) При этом
(11.17)
Число зубьев
– на рис.11.7 изображены различные фазы зацепления зубьев. Здесь прямолинейный профиль принят условно, в целях простоты рассуждений. При вращении генератора осуществляется относительный поворот колес F и С, при котором зубья колеса F должны переходить из одной впадины колеса в другую. Для этого и необходимо расцепление зубьев в точке В. За четверть оборота генератора зубья переходят из положения В в положение А. В окружном направлении они смещаются на полшага. При неподвижном колесе С на полшага поворачивается колесо F. За полный оборот генератора – на два шага. Это может быть, если разность zC – zF = 2 или равна числу волн генератора u.
В общем случае
zC – zF = Кzu (11.18)
где Кz = 1, 2, 3, …
Обычно Кz = 1, а u = 2 и тогда
(11.19)
Зубья, на которые набегает генератор (верхняя правая и нижняя левая четверти окружности – рис.11.7), входят в зацеплении. Зубья, от которых убегает генератор (верхняя левая и нижняя правая четверти окружности), выходят из зацепления. При входе в зацепление зубья (Е) совершают рабочий ход и соприкасаются одними сторонами, при выходе (Е’) – холостой ход и соприкасаются другими сторонами.
Рассмотренная схема движения зубьев позволяет понять, что волновая передача может обеспечить одновременное зацепление большого числа зубьев. Теоретически дуга зацепления может распространяться от В до А и от В’ до А’. Или число зубьев в одновременном зацеплении составляет 50% от zF или zC. Например, при
= 100,zF = 200 или 100 зубьев в одновременном зацеплении вместо 1 2 в простых передачах. Это одно из основных преимуществ волновых зубчатых передач. Оно обеспечивает им высокую нагрузочную способность при малых габаритах.
Практически число одновременно зацепляющихся зубьев или размер дуги зацепления зависит от формы и величины деформирования гибкого колеса, от формы профиля зубьев и пр. (см. ниже).
Сближенный и растянутый ряд в коробке передач

Не менее важным фактором, определяющим характер автомобиля, является разрыв между передаточными числами. Сближенный ряд передач гарантирует максимальное ускорение, которого может достичь автомобиль при прочих равных условиях. Кроме того, если во главу угла ставится экономичность, то такое решение позволяет держать рабочие обороты в оптимальной зоне, что также способствует продлению ресурса мотора.
Однако, есть у короткого ряда и существенный недостаток, а именно – необходимость в растянутой 1-й передаче, либо в короткой – высшей. Последствия от этого вполне очевидны, а единственным разумным решением является увеличение числа передач, что делает конструкцию дорогостоящей. Либо, всё же — переход к растянутому ряду.
Выбор решения обычно продиктован типом создаваемого автомобиля. Для скоростной и динамичной модели применяют сближенные по величине передаточного отношения передачи. Если же под капотом установлен двигатель с широким диапазоном мощности и плавным графиком крутящего момента, например – дизель, то необходимость в сближении передач отпадает. Для примера рассмотрим автомобиль Формулы-1, которые имеют очень плотный передаточный ряд, ввиду чего величина передаточных отношений 7-й и 8-й передач отличается всего в 1,12 раза, против 1,25 – у гражданских моделей.
Однако, сближенный ряд не всегда означает более высокую производительность. Например, у спортивного велосипеда, как правило, 8 очень близких по передаточному числу ступеней, при этом шестерня первой из них имеет 30 зубцов, а высшей – 11, это позволяет обеспечить наиболее рациональное использование энергии велосипедиста. Однако при таком подходе для обеспечения максимального ускорения необходимо интенсивно переключаться в интервале с 1-й по 5-ю передачу, всего за несколько секунд. Это касается и автомобилей, поскольку необходимость в столь частом переключении, как правило, предопределяет работу двигателя в неоптимальном режиме, особенно у неопытного водителя.
Всех этих недостатков лишены так называемые бесступенчатые типы трансмиссий, которые позволяют плавно изменять передаточные отношения, в зависимости от выбранного режима езды. К таким конструкциям относят, прежде всего, вариаторы, однако на сегодняшний день механизма, способного передавать огромный крутящий момент и оперативно подстраиваться под разгонную динамику спортивных моделей, пока не создано. Но прогресс не стоит на месте и непрерывная работа по совершенствованию таких агрегатов уже сделала их широко распространённым решением.
Определение передаточного числа главной передачи.
Передаточное число главной передачи находят исходя из максимальной скорости автомобиля на высшей передаче, заданной техническими условиями на проектируемый автомобиль.
Значение передаточного числа главной передачи определяют по формуле
Ur=3,6(wmaxrk)/VmaxUkUд
где vmax — максимальная скорость автомобиля, км/ч; wmах — максимальная угловая скорость коленчатого вала, рад/с; rk — радиус колеса, м; Uk — передаточное число коробки передач на высшей передаче; ид — передаточное число дополнительной коробки передач на высшей передаче (ид = 1).
Полагают, что передаточные числа коробки передач на высшей передаче имеют следующие значения: ик= 1,0 — для прямой передачи и ик = 0,9…1,0 — для повышающей передачи легковых автомобилей; ик — 1,0 — для грузовых автомобилей с числом передач не более шести; ик = 0,7…0,8 — для многоступенчатых коробок передач грузовых автомобилей.
Найденное расчетным путем передаточное число главной передачи UТ должно иметь следующие значения: не более 5,0 — у легковых автомобилей; не более 7,0 — у грузовых автомобилей грузоподъемностью до 8 т; не более 8,0 — у грузовых автомобилей грузоподъемностью свыше 8 т.
Расчетное значение передаточного числа главной передачи необходимо сравнить с существующими передаточными числами главных передач автомобилей аналогичного типа и назначения. В том случае, если у новой модели автомобиля проектируется ведущий мост, то это значение передаточного числа уточняют с учетом числа зубьев шестерен главной передачи.
Определение передаточного числа первой передачи коробки передач. Определение передаточных чисел промежуточных ступеней коробки передач.
При определении передаточных чисел коробки передач нужно помнить о том, что I передача предназначена для преодоления максимального сопротивления дороги. Промежуточные передачи коробки передач используются при разгоне автомобиля, преодолении повышенного сопротивления движению, работе автомобиля в условиях, не позволяющих двигаться с высокой скоростью (гололед, выбитая дорога, задержка впереди идущим транспортом и т.д.), а также при торможении двигателем на затяжных пологих спусках.
При расчете передаточных чисел сначала находят передаточное число I передачи по заданному техническими условиями максимальному коэффициенту сопротивления дороги ψmах или максимальному динамическому фактору автомобиля по тяге Dmax на I передаче.
Это передаточное число определяют с помощью выражения, полученного из формулы для динамического фактора, пренебрегая силой сопротивления воздуха, так как она незначительна при небольших скоростях движения:
u1=(Gaψmaxrk)/Mmaxηтрuгuд
где Ga — вес автомобиля с полной нагрузкой, Н; Mmax — максимальный крутящий момент двигателя, Н • м.
Полученное передаточное число I передачи коробки передач не гарантирует отсутствия буксования ведущих колес автомобиля. Чтобы не было буксования ведущих колес при движении на I передаче, необходимо выполнение следующего неравенства:
(Mmaxηтрuгuдu1)/ Gark≤Dсц=(mp2Ga2φx)/Ga
где Dсц — динамический фактор автомобиля по сцеплению; тР2 -= 1,20…1,35 — коэффициент изменения реакций на задних ведущих колесах; Ga2 —- вес, приходящийся на задние колеса автомобиля с полной нагрузкой, Н; фх= 0,6…0,8 — коэффициент сцепления колес с дорогой.
Из этого соотношения определяют новое передаточное число I передачи, при котором буксования ведущих колес не будет:
u1=(mp2Ga2φxrk)/ Mmaxηтрuгuд
После проверки передаточного числа I передачи на отсутствие буксования ведущих колес автомобиля из двух найденных передаточных чисел I передачи коробки передач для дальнейших расчетов выбирают меньшее.
По этому значению передаточного числа I передачи и известному значению передаточного числа высшей передачи определяют передаточные числа промежуточных передач.
Если высшая передача прямая (ип = 1), то для расчёта передаточных чисел промежуточных передач используют следующее выражение:
Uk=
где п’ — число передач, не считая повышающую передачу и передачу заднего хода; к — номер передачи.
Если высшая передача повышающая (ик < 1), то значение ее передаточного числа выбирают в соответствии с типом автомобиля, а остальные передаточные числа промежуточных передач рассчитывают с помощью приведенного выше выражения.
Передаточное число передачи заднего хода
Uзк=(1.2…..1,3)u1
Окончательное значение передаточного числа передачи заднего хода определяют при компоновке коробки передач.
Рассчитанные передаточные числа коробки передач являются ориентировочными и при проектировании новой коробки передач могут незначительно изменяться.
Определения
Эти термины важно запомнить. Ведущая ветвь ремня — набегает на ведущий шкив
При работе передачи растягивается
Ведущая ветвь ремня — набегает на ведущий шкив. При работе передачи растягивается.
Ведомая ветвь ремня — сходит с ведущего ремня и набегает на ведомый. При работе передачи расслабляется.
Межосевое (межцентровое) расстояние – кратчайшее расстояние между осями шкивов.
Натяжной ролик (леникс, от нем. lenix, lenixrolle — натяжной ролик) – элемент ремённой или цепной передачи; свободно вращающееся на оси колесо (шкив, звездочка, ролик), которое используется для регулирования натяжения ремня или цепи. Например, используется в тракторах для натяжения гусениц или в двигателе автомобиля для натяжения ремня ГРМ (газораспределительного механизма).
Пассик (от польского pasek — ремешок) – исторически вошедшее в наш оборот название приводного ремня круглого сечения. Слово «пассик» имеет польское происхождение. Его появление в русском словаре связывают с 80-ми годах 20-го века, когда им называли соответствующий элемент в импортном польском магнитофоне. Пассик, как правило, выполнен из резины или других полимерных материалов. Пассики использовались в устройстве протяжного механизма магнитной ленты старого кассетного магнитофона – он хорошо сглаживал рывки от электромотора и предохранял от искажений звука. «Пассики» входят в комплект конструктора Lego WeDo или ресурсного набора Lego MINDSTORMS Education EV3. В общем, всякий пассик — приводной ремень, но не каждый приводной ремень – пассик.
Приводной ремень – гибкий замкнутый элемент (ремень) для передачи вращения между двумя шкивами. Вращение передается за счет силы трения (гладкий ремень) или силы зацепления (ремень с зубчиками). Может иметь разную форму: бывают плоские ремни, зубчатые ремни, клиновидные ремни.
Ремённая передача (англ. belt drive)– механизм, предназначенный для передачи вращательного движения с помощью силы трения или зубчатого зацепления замкнутой гибкой связи (ремня) с помощью колес (шкивов), закрепленных на входном и выходном вале.
Угол обхвата – угол прилегания ремня к шкиву.
Шкив – фрикционное (англ. friction — трение) колесо с ободом или канавкой по окружности. Передает или принимает движение от приводного ремня. В отличие от блока, который имеет похожую форму, шкив всегда передавет усилие с оси на ремень, либо принимает усилие с ремня на ось. Блок же всегда свободно вращается на оси и обеспечивает изменение направления движения каната/троса, а также изменяет прикладываемую силу.
Что такое передаточное число коробки передач
Передаточное число является основной характеристикой зубчатой передачи. Такая передача передает крутящий момент от двигателя (в случае с автомобилем на ведущие колеса). Также зубчатая передача позволяет как уменьшить, так и увеличить крутящий момент, поступающий от двигателя. Изменение становится возможным благодаря увеличению или уменьшению количества зубцов на шестернях.
Итак, передаточное число (АКПП, МКПП) представляет собой отношение числа зубьев ведомой шестерни к числу зубьев ведущей шестерни в устройстве коробки передач, редуктора и т.д. Если просто, например, ведущая шестерня имеет 30 зубьев, а ведомая 60. В этом случае передаточное число такой зубчатой пары будет составлять 2, то есть 60:30.
Величина передаточного числа в коробке передач и редукторе напрямую оказывает влияние на динамику разгона, а также на показатель максимальной скорости. В ступенчатых КПП имеется несколько зубчатых пар с разными передаточными числами. Чем больше число, тем больше тяги обеспечивает данная передача. При этом мотор быстрее набирает обороты, машина активно разгоняется, однако максимальная скорость не высокая на данной передаче. Для увеличения скорости возникает необходимость в переключении на ступень выше.
На повышенных передачах (4, 5, 6) происходит уменьшение передаточного числа, что повышает максимальную скорость автомобиля. При этом разгон на таких передачах менее интенсивный, чем на пониженных.
Еще добавим, что на динамику разгона также влияет и передаточное число главной пары редуктора. Чем большим оказывается указанное число, тем лучше динамика автомобиля, причем на всех передачах. При этом максимальная скорость ниже. Например, возьмем модели ВАЗ. Если поставить на машину главную пару, которая имеет число 4.1 или 4.3 вместо 3.9, авто будет более динамичным, однако показатель максимальной скорости также будет уменьшен.
Также при создании КПП конструкторы пытаются достичь оптимального баланса между разгонной динамикой и экономичностью. Если же за счет изменения передаточного отношения необходимо добиться лучшей разгонной динамики автомобиля, экономичность однозначно пострадает.
Кстати, зачастую в 5-и ступенчатых КПП пятая «повышенная» передача не является передачей для достижения максимальной скорости, как многие ошибочно полагают. Стандартно такая передача позволяет получить максимальную экономию горючего, а также значительно снизить шум и нагрузки на силовой агрегат при езде с высокой скоростью или скоростью, близкой к максимальной для данного ТС.
Тюнинг КПП с изменением передаточного отношения
Не все знают, что лучшие динамические показатели зависят не от мощности, а достигаются в том диапазоне оборотов, который характернее для максимального крутящего момента. То есть в граничных значениях частоты оборотов коленвала, наименьшем и наибольшем, крутящий момент не достигает своего максимума.
Другими словами, чем большей будет разница между текущими и максимальными оборотами, тем хуже будет происходить набор скорости. В классических коробках передаточные числа стараются подобрать таким образом, чтобы разгон авто был комфортен на низших передачах, а наивысшие использовать для поддержания высокой скорости, экономя при этом горючее.
Если экономичность не является критическим показателем, то можно улучшить динамику, изменяя ПЧ. В этом случае уменьшается диапазон скоростей вращения коленвала при движении на одной передаче, то есть она становится короче, при этом происходит сближение ПЧ рядом расположенных передач. Для этого даже есть свой термин – сближенный ряд КПП.
Что это означает с точки зрения водителя? Двигатель достигает максимальных оборотов на меньшей передаче, но при переходе на более высокую ступень обороты остаются на примерно том же уровне – падают, но не критично, оставаясь в поддиапазоне максимального крутящего момента.
Существует несколько путей решения этой задачи – например, установить колёса меньшего диаметра или изменить передаточное число главной пары (например, увеличить с 3,7 до 4,0). А можно и совместить эти методы.
Многие поступают так: если конкретная модель имеет комплектации с разными силовыми агрегатами (например, 1,1, 1,3 и 1,6 л.), то передаточное число главной пары для автомобиля с 1,6-литровым мотором делают равным ПЧ, характерному младшим версиям.
То есть в результате такого тюнинга при установке ПЧ в значение 4,0 вместо штатных 3,7 передаточное число на пятой передаче станет таким же, как на четвёртой. Если при этом «обуть» машину в покрышки с меньшим диаметром, это ещё больше понизит передаточное число. То есть машина будет разгоняться намного быстрее, но и бензина кушать больше.
После такого апгрейда на 5-й передаче двигатель будет раскручиваться «по полной», что не добавит комфорта пассажирам. Так что подобный тюнинг уместен только в случае острой необходимости с учётом других характеристик машины (её веса, мощности двигателя, режима эксплуатации).


































